13****522023-11-23 23:35:06
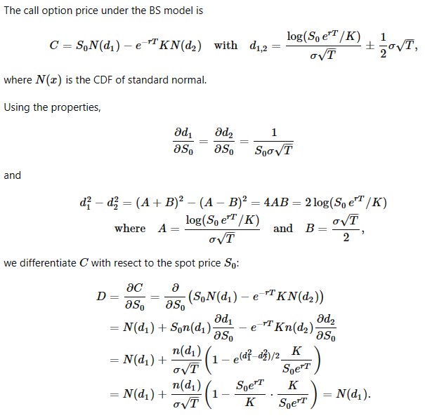
为什么这里C对S求偏导就是N(d1)呢?C的公式里面包含d1、d2,它们里面也都含有S,为什么不对这些S也一起求偏导?
回答(1)
最佳
黄石2023-11-24 10:55:49
同学你好。这里C对S求偏导是要考虑到d1和d2的,经过推导后可以得到dC/dS = N(d1)。这部分推导不是考试要求掌握的内容,从简单的角度来记忆可以忽略d1和d2,通过C = S*N(d1) - ...直接记忆dC/dS = N(d1)。
- 评论(1)
- 追问(0)
评论
0/1000
追答
0/1000
+上传图片


