一同学2023-11-07 14:42:12
老师,这道题的解析处理储藏成本,没看懂,书上不是说给现金就折现到0点直接+来调整S0吗?另外1.0025是哪来的?
回答(1)
最佳
黄石2023-11-07 17:58:23
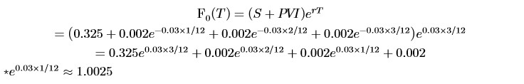
同学你好。这个就是种不同的写法,详见下图。同学能通过课上教的方法计算即可哈。加油~
- 评论(0)
- 追问(2)
- 追问
-
老师,这套题的39题和上一题类似,都是已知储存成本金额,连续复利,为什么要选换成q再计算呢?上课讲的也是加成本减收益去调整S0的呀?错的一头雾水,请老师指点
- 追答
-
同学你好。这里需要仔细审题,虽然这道题目给到的storage cost是一个金额,但它在前面强调了on a continuously compounded basis。换句话说,虽然题目给到的是storage cost ($),但是实际计算的时候我们需要将其先改成storage cost (%),类似于一个yield,然后放入连续复利的计算当中去。从storage cost ($)转换至storage cost (%)只需要将storage cost ($)除以资产的现价。同学可以通过多刷题积累一下这种题目的不同表述方法,对考试会有帮助的。加油~
评论
0/1000
追答
0/1000
+上传图片







