回答(1)
最佳
黄石2023-11-03 09:31:10
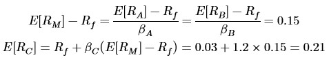
同学你好。详见下图。
- 评论(0)
- 追问(0)
评论
0/1000
追答
0/1000
+上传图片

