天堂之歌

听歌而来,送我踏青云〜

您现在的坐在位置:首页>智汇问答>FRM一级

180****82242023-10-23 17:38:11

这里standard error of the estimate是什么意思?用来干什么的?

查看试题

回答(1)

黄石2023-10-25 11:38:13

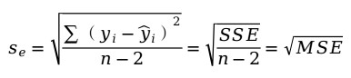
同学你好。Standard error of estimate是回归残差(residual)的标准差。可以用于衡量回归模型对数据的拟合程度。

  • 评论(0
  • 追问(0
评论

精品推荐

评论

0/1000

追答

0/1000

+上传图片

    400-700-9596
    (每日9:00-21:00免长途费 )

    ©2026金程网校保留所有权利

    X

    注册金程网校

    验证码

    同意金程的《用户协议》
    直接登录:

    已有账号登录