MMMMMM2023-10-20 20:17:47
没太懂 免费再详解一下
回答(1)
黄石2023-10-22 14:45:58
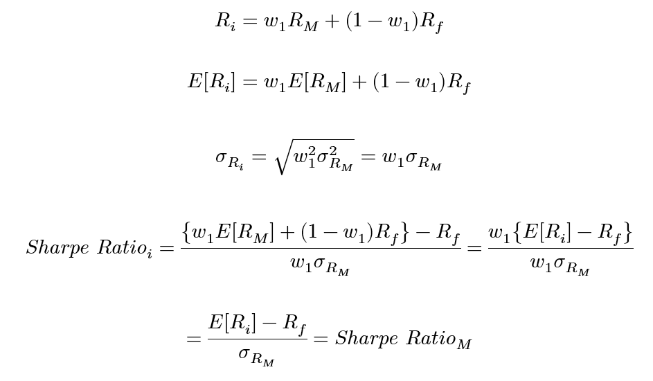
同学您好。这里的重点在于,将市场组合与无风险资产结合不会影响组合的夏普比率,其夏普比率都等于市场组合的夏普比率。见下图推导。而在理论框架下,市场组合是最有效的,夏普比率最高,所以市场组合 + 无风险资产的新投资组合也依旧最有效。
从图像的角度来解释,将市场组合与无风险资产构成一个新的投资组合,其实就相当于在CML线上投资,只不过这个新的投资组合不再落在CML与有效前沿的切点上了(即100%投资于市场组合)。如果同时投资于市场组合与无风险资产,那么新的投资组合相较于市场组合预期收益会更低(组合中引入了一部分无风险收益率),但风险也更低(组合的一部分是没有风险的),此时该组合落在CML的前半段上(即从无风险利率到市场组合点这一段);反之,若按无风险利率借钱、举杠杆投资于市场组合,那么预期收益更高,但风险也更大,此时该组合落在CML的后半段(即超过市场组合点这一段)。而夏普比率分子上是超额收益,分母上是波动率,二者同涨同跌,比率本身不变;同时,夏普比率又是CML的斜率,落在CML线上的组合的夏普比率都相同。
- 评论(0)
- 追问(2)
- 追问
-
他题目是什么意思呢 能简单化解释一下吗
- 追答
-
同学你好。首先纠个错,昨天公式打太快了,最后的推导应该是(E[RM] - Rf)/Sigma_RM,不是(E[Ri] - Rf)/Sigma_RM。
这道题讲的是,假设市场组合的Sharpe ratio = S1,若我举杠杆、将自有资金和借来的钱同时投资于市场组合,那么夏普比率是否会发生变化,该头寸(市场组合 + 无风险资产,其中无风险资产权重为负)是否仍处在CML线上(在风险资产的基础上引入无风险资产后,CAL、CML即新的有效前沿)?
评论
0/1000
追答
0/1000
+上传图片


