181****31272023-10-20 15:49:59
请问在one-factor correlation model时说Ui-N(0,1)因为F和Z都是标准正态,为什么到Vasicek Model U的均值和标准差就不是0和1了呢?是这里的F和Z也不再是标准正态了吗
回答(1)
黄石2023-10-22 11:29:12
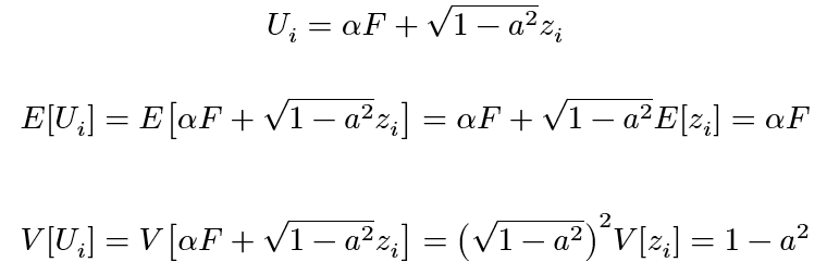
同学您好。这里是给定了F的取值(即Conditional on F,此时F相当于一个常数,不再被当作变量),求Ui的期望与均值。推导见下图。
- 评论(0)
- 追问(0)
评论
0/1000
追答
0/1000
+上传图片


