199****93652023-09-04 13:39:20
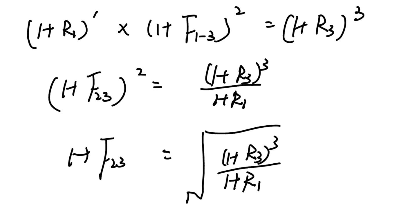
2-year forward rate one year from today = 11.32%,F1,2计算第一项三年收益率除以一年收益率为什么要开方
回答(1)
最佳
Adam2023-09-04 14:33:17
同学你好,
2-year forward rate one year from today = 11.32% 不是F12,
而是F13,表示的是站在0时刻看,一年后开始,为期两年的远期利率【也就是3时刻到期】。
- 评论(0)
- 追问(0)
评论
0/1000
追答
0/1000
+上传图片

