153****01882023-03-27 13:12:43
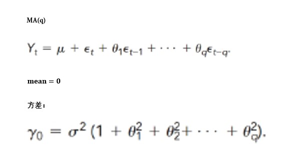
MA(q)的mean和var的公式是什么?
回答(1)
ES2023-03-27 19:31:20
同学,你好
请见下图
加油,祝你顺利通过考试~
【点赞】👍让我们知晓您对答疑服务的支持~
- 评论(0)
- 追问(2)
- 追问
-
1.MA(q)的mean是0吗?2.那MA1的mean和variance又是什么呢?
- 追答
-
同学, 你好
1.MA(q)的mean是0吗?
是
2.那MA1的mean和variance又是什么呢?
基础班讲义有,见下方截图
加油,祝你顺利通过考试~
【点赞】👍让我们知晓您对答疑服务的支持~
评论
0/1000
追答
0/1000
+上传图片


