黄同学2023-03-25 23:51:50
为社么skew会出现这样的图形呢?
回答(2)
Lucia2023-03-27 11:55:34
同学你好,skew表示有偏的,这里是左偏/负偏,这个往哪里偏是和正态分布进行比较的。
- 评论(0)
- 追问(1)
- 追问
-
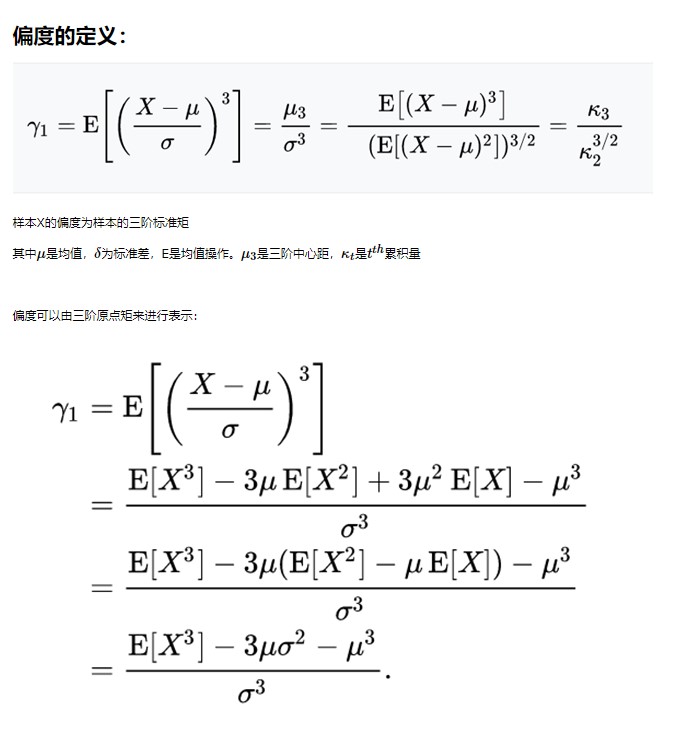
根据公式化简完的和图像对不上啊
ES2023-03-28 09:49:01
同学,你好
公式展开是这样的
- 评论(0)
- 追问(2)
- 追问
-
所以我写的那个为什么不对
- 追答
-
分母是标准差的三次方
为什么标准差=p*(x-miu)?
评论
0/1000
追答
0/1000
+上传图片



