150****96502023-03-24 00:28:35
这里怎么算出上下限的啊 公式我都懂 就是代入算值的时候不怎么清楚。
回答(1)
Adam2023-03-24 14:36:49
同学你好,
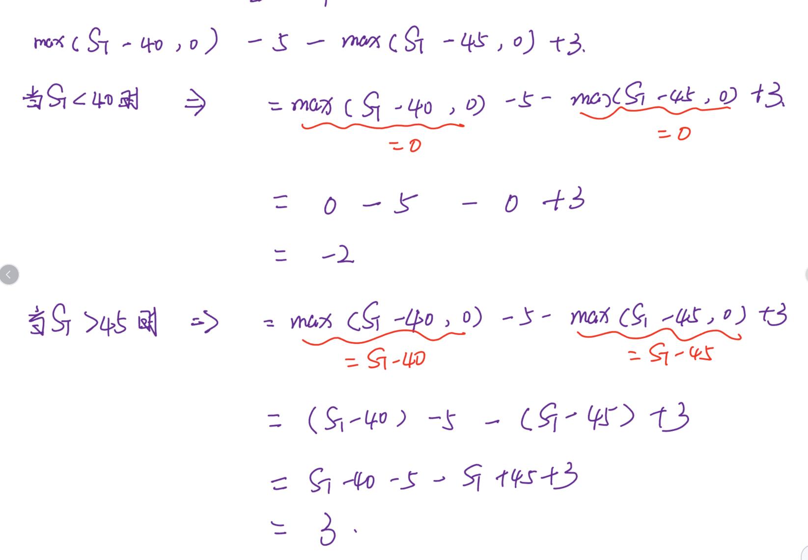
max(A,B)表示的是AB之间的较大值。
代数如下:
- 评论(0)
- 追问(0)
评论
0/1000
追答
0/1000
+上传图片


