150****96502023-03-24 00:20:18
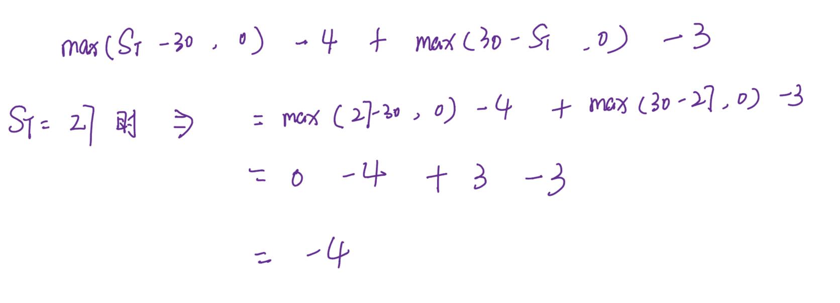
这里为什么结果算出来等于-4 怎么代入计算的啊
回答(1)
Adam2023-03-24 14:29:24
同学你好,就是简单的代数计算呀,如下图
- 评论(0)
- 追问(0)
评论
0/1000
追答
0/1000
+上传图片


