天堂之歌

听歌而来,送我踏青云〜

您现在的坐在位置:首页>智汇问答>FRM一级

joyyy2023-03-21 11:29:09

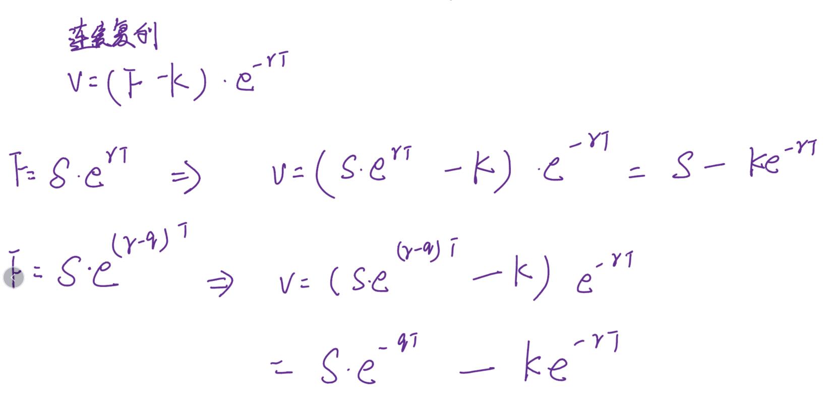
老师,这道题要算远期的价值,为什么不用书本上的远期价格的公式呢

查看试题

回答(1)

Adam2023-03-21 14:34:44

同学你好,
图中最后一个式子你写错了。

远期价格是F的计算,远期价值是v的计算,二者不是一个东西。
此外,书本上是默认的“一般复利”。
这道题给出的利率是“连续复利”。核心思想是一样的

  • 评论(0
  • 追问(0
评论

精品推荐

评论

0/1000

追答

0/1000

+上传图片

    400-700-9596
    (每日9:00-21:00免长途费 )

    ©2026金程网校保留所有权利

    X

    注册金程网校

    验证码

    同意金程的《用户协议》
    直接登录:

    已有账号登录