回答(2)
Crystal2023-01-29 17:20:45
先把所有变量的边际概率表示出来,然后在用随机变量乘以对应的边际概率求和,就是你想要的a和b的均值。
- 评论(0)
- 追问(1)
- 追问
-
还是不理解,能不能请老师把计算过程列示一下,题目级别显示为困难,但是没有语音解释,不好理解,还请老师协助。
Lucia2023-02-09 10:38:12
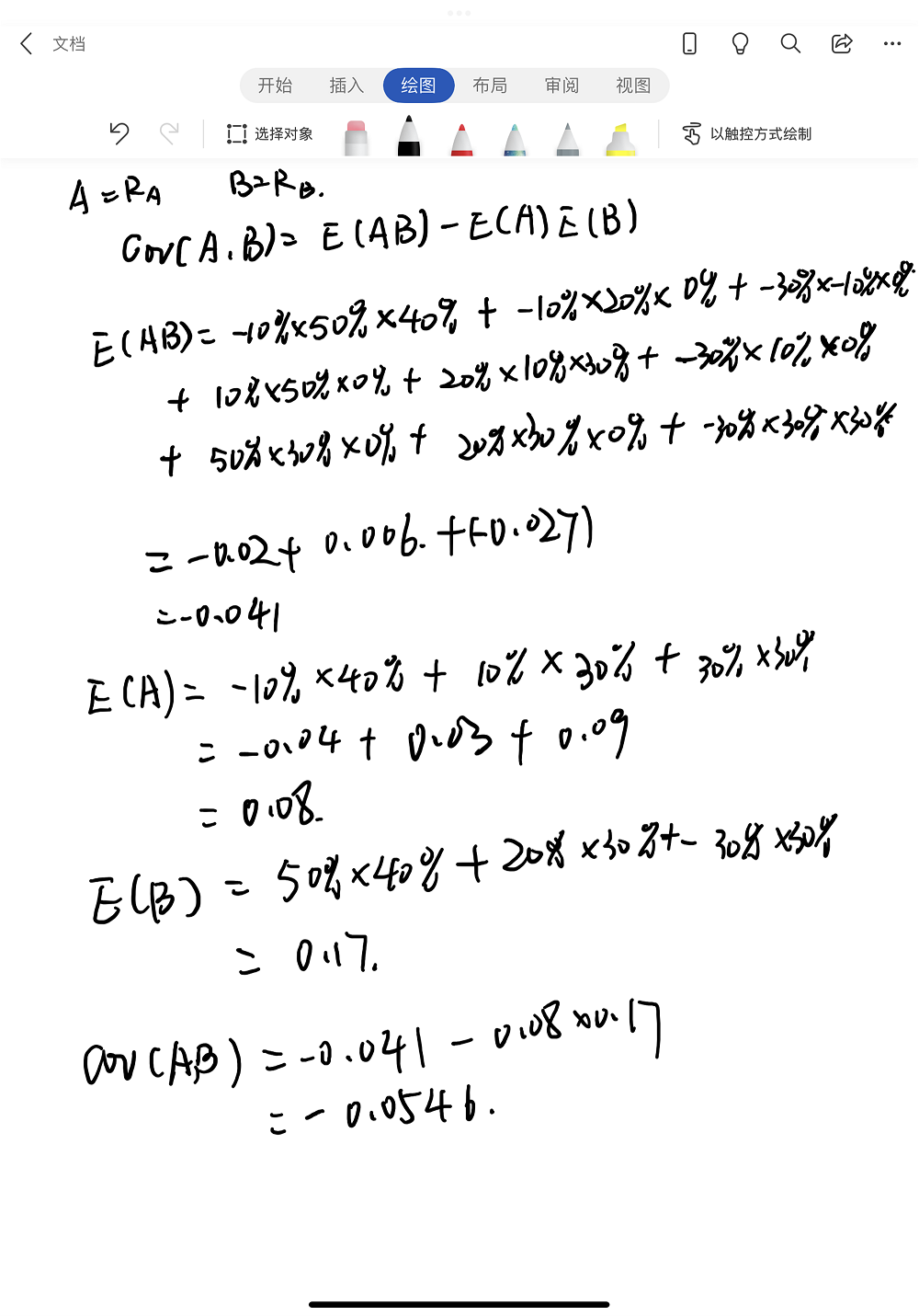
同学你好,计算如下
- 评论(0)
- 追问(0)
评论
0/1000
追答
0/1000
+上传图片

