aaa2023-01-25 14:38:27
请问这道题怎么做
回答(1)
最佳
Adam2023-01-28 20:06:09
同学你好,
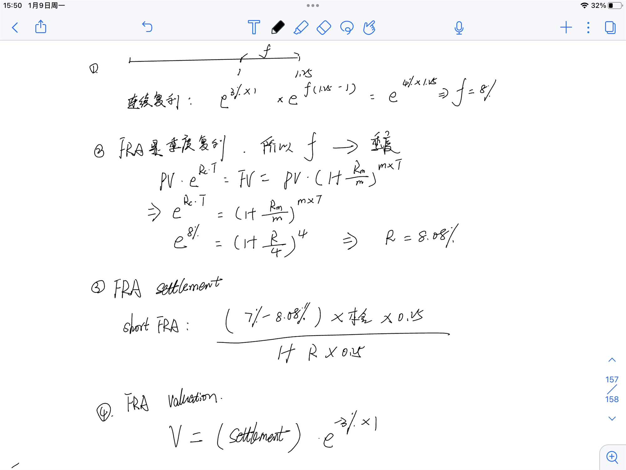
如下图:
FRA。
双方约定在未来某个时间点开始,进行一段期限的借贷。
long方,是名义上的借款人,合同利息的支付者(pay fixed)
作为他的对手方,是名义上的贷款人,合同利息的获得者(收fixed)。因此从这个角度,earn7%,代表着他是收合同利息的。因此是short方
合约是1年以后进行为期三个月的借贷。
合约约定的是季度复利,但市场利率是连续复利,所以要进行交易的话肯定要先将连续复利转换成季度复利,然后和FRA的固定利率进行交易。
剩下的就是套用公式:
- 评论(0)
- 追问(0)
评论
0/1000
追答
0/1000
+上传图片




