阿同学2022-10-26 12:18:00
这个题完全看不懂可以详细解释一下吗?考试就这样考?
回答(1)
Lucia2022-10-26 13:46:24
同学你好,
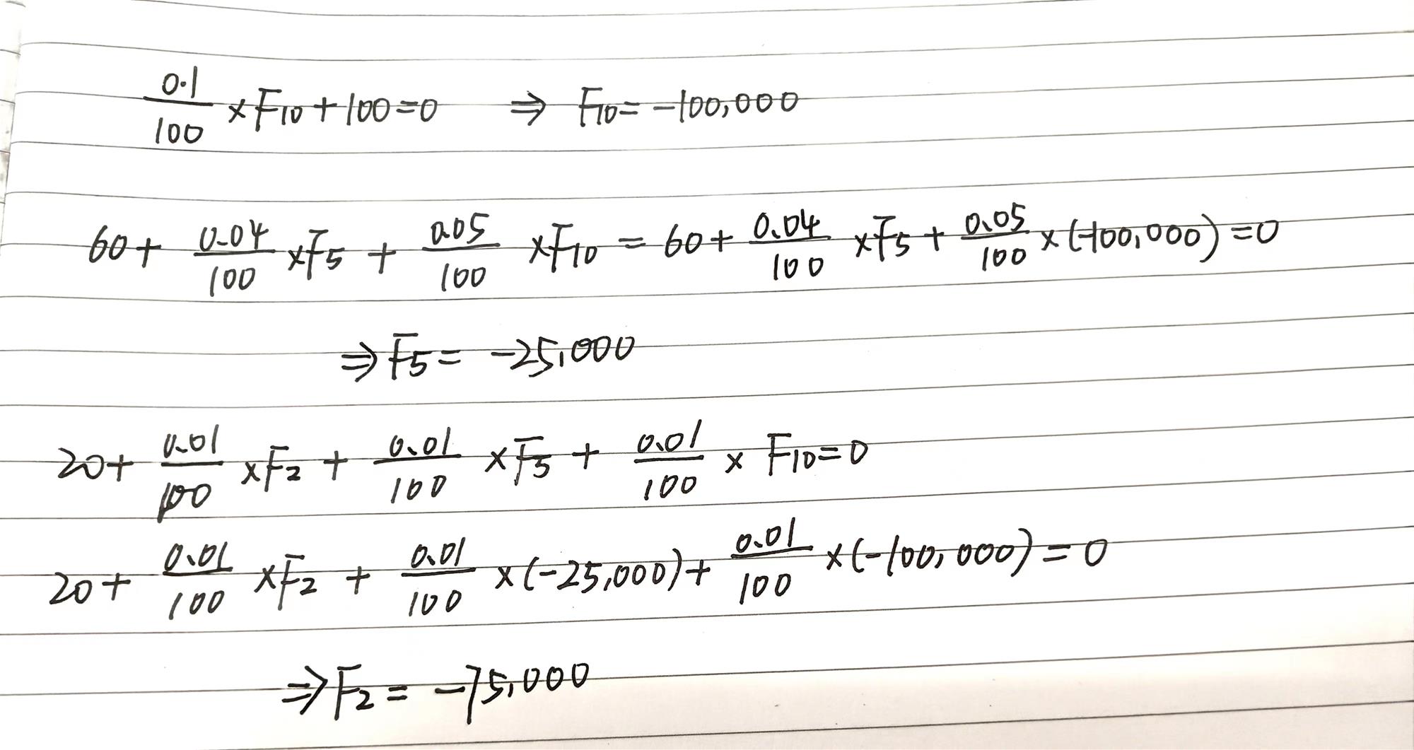
这题的意思是:现在有三个关键利率,2年的关键利率变动会使得2年债券、5年债券、10年债券分别变动0.01元.
5年的关键利率变动会使得5年债券、10年债券分别变动0.04元、0.05元。
10年的关键利率变动会使得10年债券分别变动0.1元.。
注意这里的:0.01/0.04/0.05/0.1均是100面值对应的变动。【即100块面值的债券变化分别是0.01/0.04/0.05/0.1元。那么1面值的债券变化分别是0.0001/0.0004/0.0005/0.001】
现在我有一个组合,2年关键利率变动会使得我组合变动20元,5年关键利率变动会使得我组合变动60元,10年关键利率变动会使得我组合变动100元。
问我一共需要多少面值的2年债券、5年债券、10年债券,才能把关键利率对我的组合影响对冲掉?。
由于10年关键利率只会对10年债券产生影响,所以我只需要使用10年债券,就能对冲10年关键利率对组合的影响。
10年债券面值*0.001元=100元.
由此我能得出:100,000元面值的10年债券。
同理。5年关键利率变动会影响:5年债券、10年债券。,所以我需要5年债券和10年债券共同来对于冲5年关键利率对组合的影响
5年债券面值*0.0004元+10年债券面值*0.005元=60元.
由于在上一步已经知道啦10年债券面值,所以我们可以到推出5年债券面值。
同理2年关键利率变动会影响:2年债券、5年债券、10年债券。,所以我需要2年债券、5年债券和10年债券共同来对于冲2年关键利率对组合的影响
2年债券面值*0.0001元+5年债券面值*0.0001元+10年债券面值*0.0001元=20元.
由于在上一步已经知道啦5年、10年债券面值,所以我们可以到推出2年债券面值。
- 评论(0)
- 追问(0)
评论
0/1000
追答
0/1000
+上传图片


