Ty2022-10-24 15:11:59
老师您好,这道题的问题有歧义吧。问的是the standard deviation of the loss from the loan portfolio,应该是计算组合损失方差,答案算的应该是单个loan的损失方差吧,组合损失方差课上给了公式,对吧?
回答(1)
Lucia2022-10-24 16:43:47
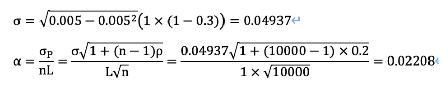
这个计算过程是这样的,另外这里用的就是组合的标准差,就是你画黄线的部分。
- 评论(1)
- 追问(0)
评论
0/1000
追答
0/1000
+上传图片


