151****86152022-10-22 16:54:59
麻烦讲一下第四题
回答(1)
杨玲琪2022-10-24 10:41:02
同学你好,
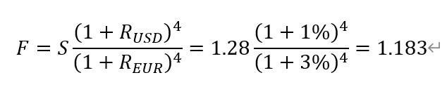
这道题中给的现货报价是1EUR=1.280USD,可以看出是对EUR进行标价,因此可以把EUR看成是标的资产。而标的资产的收益率(需要在计算远期价格时剔除的部分)就是R(EUR)=3%。详细计算过程见附图。
希望能解答你的疑惑,加油!
- 评论(0)
- 追问(0)
评论
0/1000
追答
0/1000
+上传图片


