回答(1)
Lucia2022-10-21 16:24:04
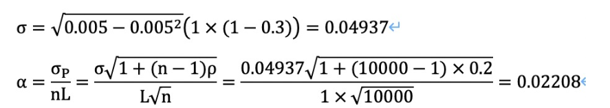
同学,你好,这个考的是这个公式
- 评论(0)
- 追问(4)
- 追问
-
题目里问的是组合资产的标准差,不是单个资产的标准差吧?
- 追答
-
这个计算的就是组合资产的标准差
- 追问
-
这题有问题吧,算组合资产的标准差的话,怎么没有n在算式里面?
- 追答
-
同学,你好,这里n是10,000
评论
0/1000
追答
0/1000
+上传图片



