天堂之歌

听歌而来,送我踏青云〜

您现在的坐在位置:首页>智汇问答>FRM一级

185****58662022-10-18 22:00:10

老师,e的几次幂这个公式,麻烦讲一下行吗?可以把e直接约掉?

查看试题

回答(1)

杨玲琪2022-10-21 10:44:38

同学你好,

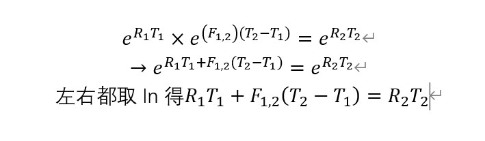
这是运用的指数计算法则与ln的特征。详见附图。

希望能解答你的疑惑,加油!

  • 评论(0
  • 追问(0
评论

精品推荐

评论

0/1000

追答

0/1000

+上传图片

    400-700-9596
    (每日9:00-21:00免长途费 )

    ©2026金程网校保留所有权利

    X

    注册金程网校

    验证码

    同意金程的《用户协议》
    直接登录:

    已有账号登录