181****31272022-10-12 18:51:55
请问老师为什么coupon rate升高,YTM就越靠近期初的值呢?我明白的是coupon越高,每一笔现金流权重变大,那和YTM什么关系呢?
回答(1)
Lucia2022-10-13 15:54:55
同学,你好,这一块内容比较难理解,建议你学完久期duration再来学这一块内容会更好一些一些。
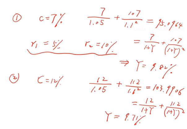
这里老师举了一个例子,如下图,在利率曲线向上的时候,即r1=5%,r2=10%,coupon越高(7% <12%),YTM越低(9.82%>9.71%),通过计算,我们发现这个结论是正确的。
从理论上理解,就是coupon越高一开始拿到利息越多,拿到这些利率去再投资,但是利率只有5%,投资收益率YTM低,但是coupon低的未来能够拿到的钱的权重越高能够以更高的利率10%去再投资,投资收益率YTM高。
- 评论(0)
- 追问(0)
评论
0/1000
追答
0/1000
+上传图片



