181****31272022-10-02 19:21:12
请问是tailing the hedge调成前和调整后的公式h和N都是需要带*号的吗?星号代表什么呢?
回答(1)
杨玲琪2022-10-10 12:45:03
同学你好,
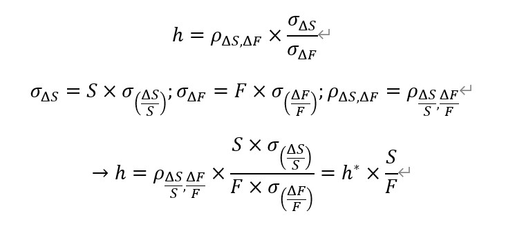
Tailing the hedge是为了简化期货合约每天需要调整对冲头寸的这个过程而出现的一种操作。它的特点就是把原对冲比率中价格变动ΔS和ΔF调整成one-day return,即ΔS/S,ΔF/F。具体推导见附图。也就是说h*其实是根据ΔS/S,ΔF/F计算出的对冲比率。这里N都代表需要的合约份数,带不带星影响不大,带星是为了和h*对应,但是h*要带星,因为与原来的h是不一样的。
希望能解答你的疑惑,加油!
- 评论(0)
- 追问(0)
评论
0/1000
追答
0/1000
+上传图片


