TH2021-12-29 16:42:44
请列一下蝶式看涨和蝶式看跌的利润公示
回答(1)
Adam2021-12-29 17:53:44
同学你好,如下
- 评论(0)
- 追问(3)
- 追问
-
老师只讲了k1和k2请问k3 是什么
- 追问
-
可以像课上一样列出来推导过程吗,直接给结果有些看不懂
- 追答
-
同学你好,
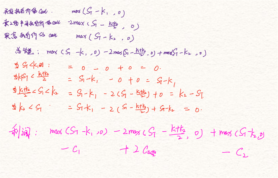
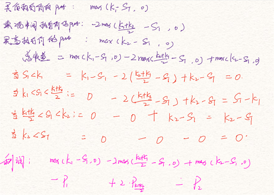
蝶式价差是:买低执行价格的期权,买高执行价的期权,卖2份中间执行价格的期权。
在老师的课程中,低执行价格为K1,高执行价格为K2,中间执行价格为(k1+k2)/2
在这幅图中:低执行价格为K1,高执行价格为K3,中间执行价格为K2,其中K2=(k1+k3)/2
其实是一回事。
至于推导过程,其实就是将“每个操作的收益”进行加总就可以了。
评论
0/1000
追答
0/1000
+上传图片





