Nicole_Yuan2021-11-08 15:42:27
老师,可是第二十题,我手算出来,利率是7.85%啊,不是8%,怎么回事呢?
回答(1)
Adam2021-11-08 19:38:14
同学你好,可能是你计算过程中省略小数了。
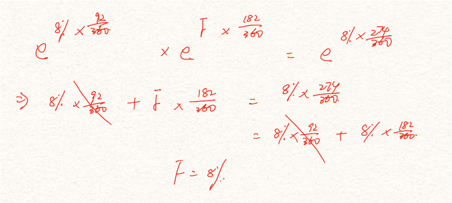
如下,由于没有假定复利方式。
所以我们可以使用最简单的连续复利。
当然你也可以使用其他复利,最后一样能得出结论
- 评论(0)
- 追问(0)
评论
0/1000
追答
0/1000
+上传图片

