卫同学2021-05-17 23:11:22
这个题的正确答案是几,讲解一下
回答(1)
Millie2021-05-18 17:37:46
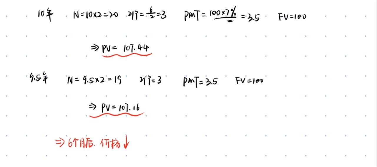
同学你好,答案是A。具体步骤如图
- 评论(0)
- 追问(3)
- 追问
-
有具体的原因吗?为什么会这样
- 追问
-
我记得有个知识点是债券的损益成分分析,时间边短后的价格应该高啊,我没记错吧
- 追答
-
同学你好,在到期日债券的价格都等于面值,不同债券价格的变化如图
这个题coupon rate>ytm,是premium bond,随着时间的推移,债券价格会逐渐下跌至面值。
(债券损益成分分析那个例子coupon小,是discount bond)
评论
0/1000
追答
0/1000
+上传图片



