姚同学2021-05-08 10:34:22
老师我想问一下72题,我可以把它理解成cover call 吗?那为什么要long put option呢,不应该是long一个 stock吗?还有一个问题是payoff和profit有什么区别呢,两个不都是收益吗
回答(1)
Adam2021-05-08 16:23:06
同学你好,
麻烦贴一下图片。谢谢
- 评论(0)
- 追问(2)
- 追问
-
第82题
- 追答
-
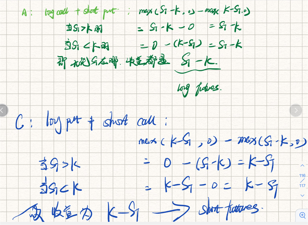
同学你好,请注意,这是合成futures的空头。
你说的cover call,只是类似short put。
这题是画图,去进行分析的。,如下图。
注意为什么不选profit。因为算profit的话。就要考虑期权费。而期货不需要。
评论
0/1000
追答
0/1000
+上传图片




