GIN2021-05-07 22:26:49
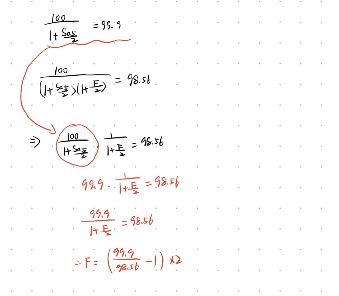
请问老师,习题集743,为什么答案直接用R(0.5)*(1+F/2)=R(1),不是(1+R(0.5))^0.5*(1+F)^0.5=(1+R(1))?
回答(1)
Millie2021-05-08 12:10:41
同学你好,答案是这个意思
- 评论(0)
- 追问(0)
评论
0/1000
追答
0/1000
+上传图片


