186****06252020-12-07 20:07:50
E[(X-E[[X])^2]= E[X^2] -E[X]^2这个是怎么得到的
回答(1)
Jenny2020-12-08 10:37:57
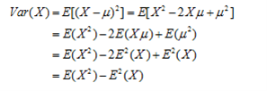
同学你好,这个公式的推导过程因为平台格式限制,具体请见附图,如果对于过程有什么疑问,随时欢迎追问。
- 评论(0)
- 追问(0)
评论
0/1000
追答
0/1000
+上传图片


