陈同学2020-11-20 08:45:17
惠普12c 怎么按Cnx??
回答(1)
Jenny2020-11-20 10:59:47
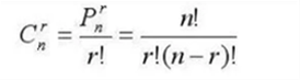
同学你好,在查阅官方的计算器功能说明之后,并没有发现直接算组合的功能键。建议尝试间接方式,对于nCr来说,它的公式如下(见附图),可以通过分别计算阶乘:r!,n! 和(n-r)!,最后代入公式计算组合。阶乘的算法是,输入n,按g,再按3,就可以算出。
建议去看一下计算器的使用。网校上有相关视频的,
这是官方关于计算器使用的指南,惠普在FRM里还是比较小众的。https://support.hp.com/cn-zh/product/hp-12c-prestige-financial-calculator/1812534/manuals
- 评论(0)
- 追问(2)
- 追问
-
嗯嗯好的,谢谢
- 追答
-
不客气哒
评论
0/1000
追答
0/1000
+上传图片


