Jophia2020-11-02 10:15:06
217 这个公式exy=exey+cov(x,y)怎么来的?
回答(1)
Jenny2020-11-02 13:28:34
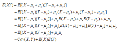
同学你好,具体推导请见附图。
- 评论(0)
- 追问(2)
- 追问
-
这个公式一般用于什么情况呢?
- 追答
-
一般情况下是用来计算协方差COV,或者计算这个公式里另外的参数E(XY),E(X),E(Y). 这个公式只适用于总体,样本不适用。
评论
0/1000
追答
0/1000
+上传图片


