周同学2020-10-31 17:29:00
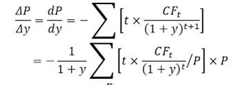
图1是自己算的,图2是老师讲的泰勒展开式,一阶导数前为什么是负号?自己怎么算都是正号?想不明白,求教
回答(1)
Cindy2020-11-02 14:03:14
同学你好,请看下图,一阶导数求出来,的确前面是有一个负号的
- 评论(0)
- 追问(0)
评论
0/1000
追答
0/1000
+上传图片



