天堂之歌

听歌而来,送我踏青云〜

您现在的坐在位置:首页>智汇问答>FRM一级

阮同学2020-10-28 19:35:11

老师好 这道题该怎么做

查看试题

回答(1)

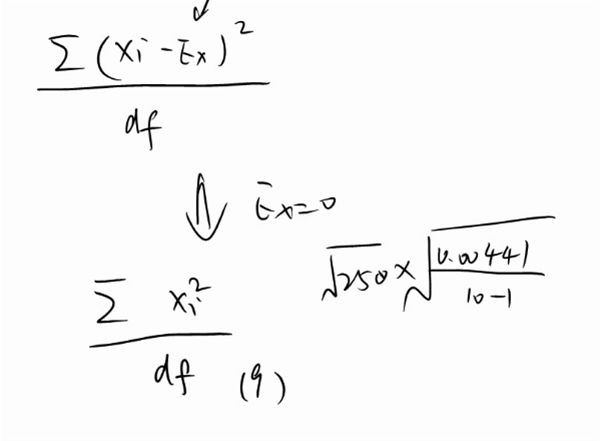
Adam2020-10-29 19:59:20

同学你好,这题其实很简单。
就是让你计算样本标准差。
最后将一天的标准差转换成250天的标准差

  • 评论(0
  • 追问(0
评论

精品推荐

评论

0/1000

追答

0/1000

+上传图片

    400-700-9596
    (每日9:00-21:00免长途费 )

    ©2026金程网校保留所有权利

    X

    注册金程网校

    验证码

    同意金程的《用户协议》
    直接登录:

    已有账号登录