Muko2020-10-26 22:10:27
老师,这个题的计算公式是什么?不太明白d(1)and d(2)的算法,🙏
回答(1)
Adam2020-10-27 17:47:49
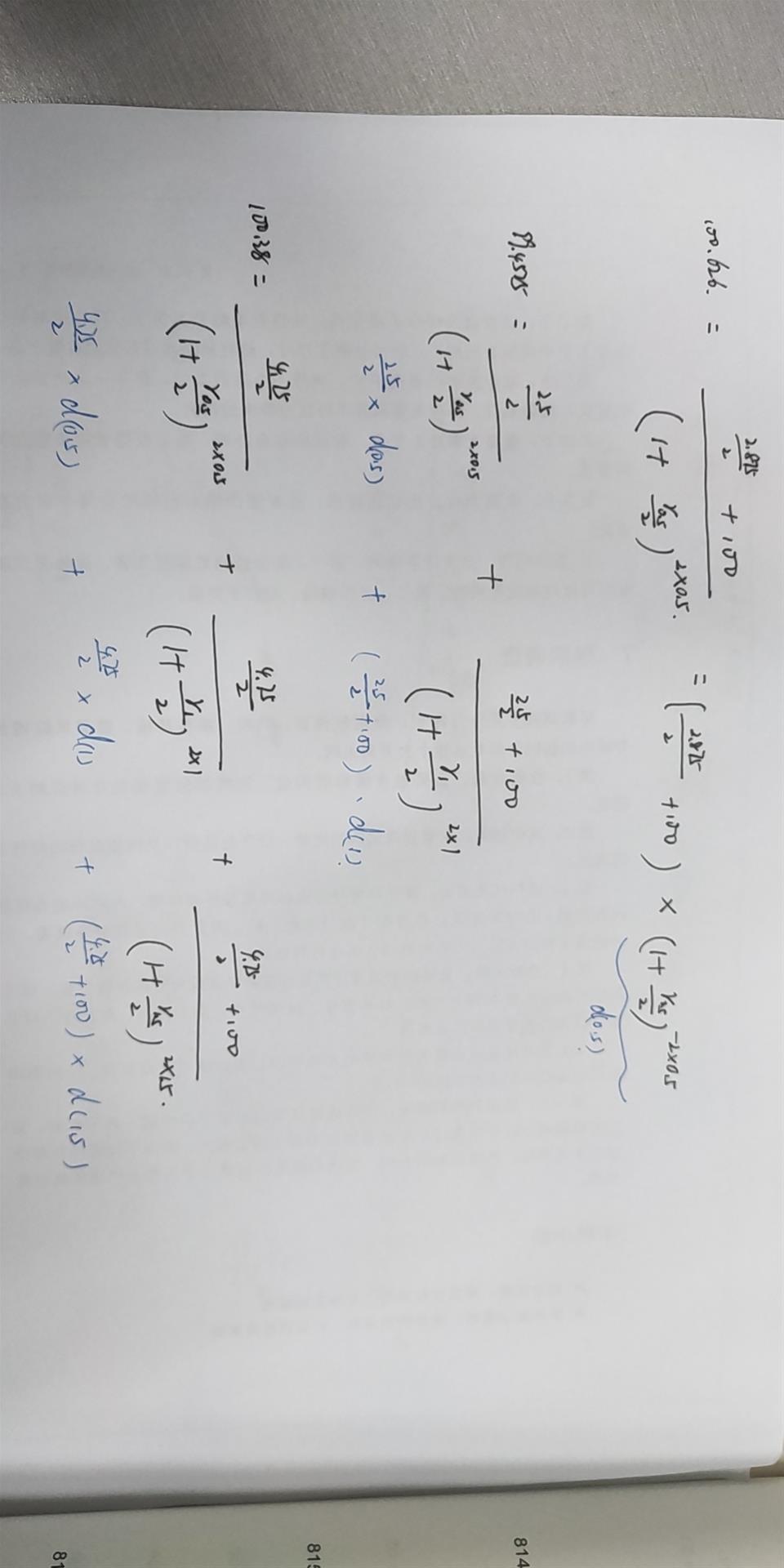
同学你好,这里实际上算的是折现因子哦。
表示未来的1块钱今天值多少钱。表达式为d(t),比如d(0.5)=0.97557,表示0.5年后的1块钱今天值0.97557元,折现因子可以直接给债券定价。比如现在有债券A,3个月后要支付105元,那么债券A现在的价值为105×三个月期的折现因子。
这题实际上就是使用即期利率对着三个债券进行价值估计
- 评论(0)
- 追问(2)
- 追问
-
但是老师,你写的那个式子中的r0.5、r1和r1.5都是未知的吧?
- 追答
-
对的呀,是未知
所以将1/(1+r0.5)这个整体看成了d(0.5),这也就是折现因子了
评论
0/1000
追答
0/1000
+上传图片



