吴同学2020-10-25 23:36:30
在介绍样本方差公式的所提及的两个版本中,高老师提及到版本二更符合无偏,且用了自由度的理论解释缘由。参考图三,X1, X2, X3, X4, X5这5个值,倘若该5个值就是总体,那么均值μ是个常数,老师表示这里的自由度是5,并说到因为该均值不是随机变量,不会借用到X1~X5的自由度。但个人感觉这里的解释有点抽象......个人感觉这里总体的自由度更像是4,毕竟均值是确定的常数,X1~X5能自由取值的量只有4个,如果5个都自由取值的话均值不会是确定的。请问我这里的理解哪里出了问题??
回答(1)
Jenny2020-10-26 13:29:35
同学你好,因为总体是不取值的,所以准确来说,它和样本的自由取值的概念不一样,一般题目中,我们是已知均值,所以样本有一个值是不能自由取值的(不能是总体中随意一个值),但是总体就是包含了所有值的,是知道了所有的值之后,才有总体均值这个概念。
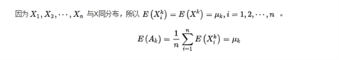
关于均值为什么是无偏的,如果估计量的期望值等于总体的真实值,那么我们就把它叫做无偏。在做回归时,如果总体均值比较难获取时,我们用样本来估计总体真实值,这个样本均值在估计方法上还是无偏的,也就是等于真实值。这个在数学上是可以证明的,附图中简要提到了,看看就行,考试只要记结论就好。
- 评论(0)
- 追问(0)
评论
0/1000
追答
0/1000
+上传图片




