陈同学2020-10-17 17:30:07
老师,惠普计算器怎么算48题的排列组合数值
回答(1)
Jenny2020-10-20 14:40:02
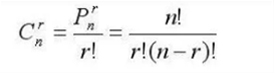
同学你好,在查阅官方的计算器功能说明之后,并没有发现直接算组合的功能键。建议尝试间接方式,对于nCr来说,它的公式如下(见附图),可以通过分别计算阶乘:r!,n! 和(n-r)!,最后代入公式计算组合。阶乘的算法是,输入n,按g,再按3,就可以算出。
建议去看一下计算器的使用。网校上有相关视频的,
这是官方关于计算器使用的指南,惠普在FRM里还是比较小众的。https://support.hp.com/cn-zh/product/hp-12c-prestige-financial-calculator/1812534/manuals
- 评论(0)
- 追问(0)
评论
0/1000
追答
0/1000
+上传图片

