天堂之歌

听歌而来,送我踏青云〜

您现在的坐在位置:首页>智汇问答>FRM一级

fufu2019-10-21 20:23:33

老师这个题应该怎么写的

查看试题

回答(1)

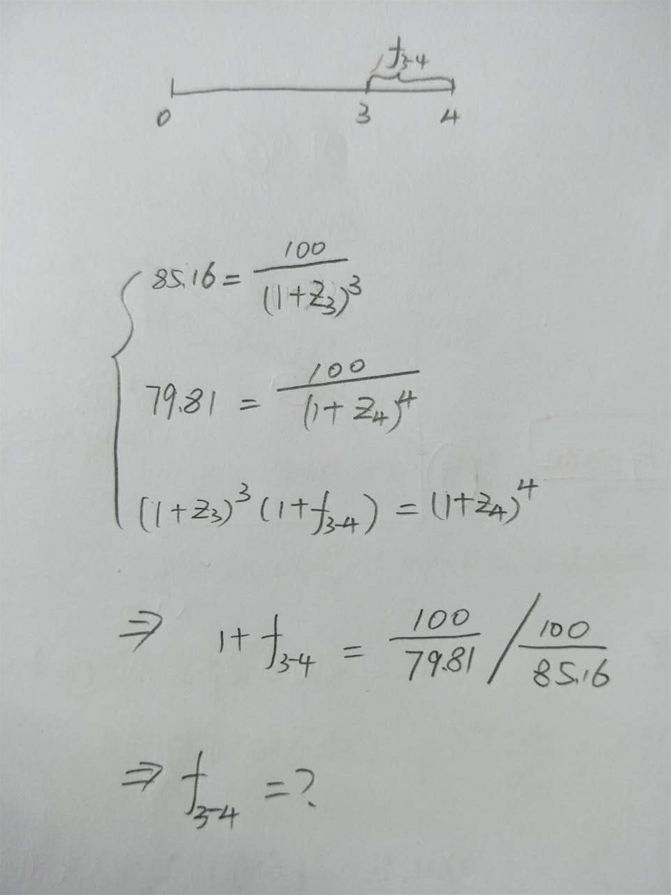
Wendy2019-10-22 14:05:15

童鞋你好,这题考察点就是怎样由spot rate得出forward rate。只不过这里转了一个弯,spot rate不是直接给的(spot rate是一个零息债券的YTM)。过程如图

  • 评论(0
  • 追问(0
评论

精品推荐

评论

0/1000

追答

0/1000

+上传图片

    400-700-9596
    (每日9:00-21:00免长途费 )

    ©2026金程网校保留所有权利

    X

    注册金程网校

    验证码

    同意金程的《用户协议》
    直接登录:

    已有账号登录