徐同学2025-11-08 21:51:04
方差公式推导过程中,图中+3个问号的地方为什么可以这样推导?
回答(1)
黄石2025-11-10 10:06:14
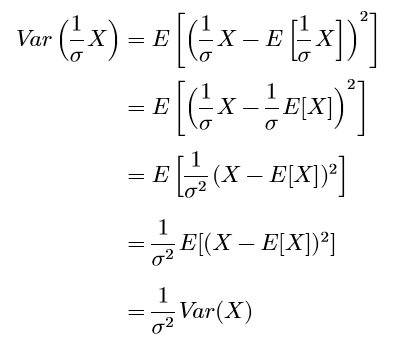
同学你好。见下图。总而言之,Var(aX) = a^2*Var(X),其中X是变量,a是常数。这条运算法则需要记住。
- 评论(0)
- 追问(0)
评论
0/1000
追答
0/1000
+上传图片
徐同学

