天堂之歌

听歌而来,送我踏青云〜

您现在的坐在位置:首页>智汇问答>FRM一级

秦同学2025-10-31 23:39:32

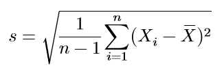
老师,请问最后这步sample standard deviation的根号里为什么要除以2呢?

查看试题

回答(1)

黄石2025-11-03 10:04:09

同学你好。这是套用样本标准差的定义式,其中n为样本容量,等于3,故除以3 - 1 = 2。

  • 评论(0
  • 追问(0
评论

精品推荐

评论

0/1000

追答

0/1000

+上传图片

    400-700-9596
    (每日9:00-21:00免长途费 )

    ©2026金程网校保留所有权利

    X

    注册金程网校

    验证码

    同意金程的《用户协议》
    直接登录:

    已有账号登录