秦同学2025-10-11 00:41:12
老师,statement 1没看明白,这个t-statistic是在哪里讲到的?statement 2是不是因为异方差是讨论残差的方差是否为constant,和残差是否自相关没关系
查看试题回答(1)
黄石2025-10-13 17:32:02
同学你好。
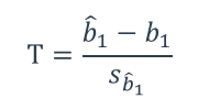
Statement 1中的t-statistic就是针对回归系数的检验统计量,见下图。如果存在heteroskedasticity,那么系数的标准误计算有误(其计算基于同方差的假设),则假设检验也会受到影响。
对于Statement 2,你的理解是正确的。
- 评论(0)
- 追问(0)
评论
0/1000
追答
0/1000
+上传图片

