Orange2024-06-16 18:40:59
你好老师
回答(1)
最佳
Evian, CFA2024-06-17 17:59:49
ヾ(◍°∇°◍)ノ゙你好同学,
题目给出的“-0.63”是一个多余的互换合约的条件,在Q1中用不到,因为你截图也标黄了,S主人公是selling the treasury, buying Japanese government bonds
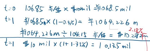
解析的思路是按照以上买卖的交易,对比收益率,如下截图
1.卖出美国债券,转而投资日元债券,投资到期货换成美元,可以获得10.2182mil美元
2.继续持有美国债券,获得10.175mil美元
所以1的收益总额更高
---------------------
投资更加优秀的自己👍 ~如果满意答疑可【采纳】,仍有疑问可【追问】,您的声音是我们前进的源动力,祝您生活与学习愉快!~
- 评论(0)
- 追问(0)
评论
0/1000
追答
0/1000
+上传图片
Orange



