回答(1)
最佳
Evian, CFA2024-07-02 11:03:57
ヾ(◍°∇°◍)ノ゙你好同学,
是的,因为在对c0定价时构建的无风险投资组合,不限定头寸,只要投资组合整体不受到标的资产价格波动的影响即可,于是long stock, short call或者long call, short stock都可以
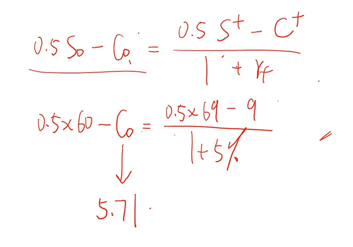
请参考以下截图
---------------------
投资更加优秀的自己👍 ~如果满意答疑可【采纳】,仍有疑问可【追问】,您的声音是我们前进的源动力,祝您生活与学习愉快!~
- 评论(0)
- 追问(0)
评论
0/1000
追答
0/1000
+上传图片



