回答(1)
最佳
爱吃草莓的葡萄2024-06-11 15:03:44
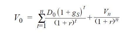
同学你好。DDM公式如下。DDM是折现现金流模型中的一种,是将未来现金流进行折现估值。假如你现在买了A股票一直持有,并且每年给你股利,那么它的内在价值是不是未来每年股利进行折现即可,这是最简单的情形。如果你三年后卖了呢,卖了之后是不是获得不了以后得股利,但是卖了之后你将获得该股票在三年后这一时刻的价值(称为终值,terminal value),那么总的现金流即为前三年每一年的股利与第三年卖掉股票的价值,你将这四笔现金流折现估出当前的内在价值。这是一级权益估值的基础性概念。
- 评论(0)
- 追问(0)
评论
0/1000
追答
0/1000
+上传图片

