138***262020-02-23 03:34:39
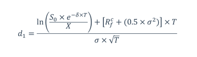
老师这道题干说的是不分红,为什么A还是不对?
回答(1)
Dean2020-02-23 18:44:20
同学你好,老师都已经把答案写在讲义上了啊。因为上一道假设股利率为2,这道为0 ,股利率不同会影响到Nd1和Nd2的计算。
同学你好想请问下,在你的视频课程中授课老师是哪位呢?
- 评论(0)
- 追问(0)
评论
0/1000
追答
0/1000
+上传图片


