138***262020-02-20 06:38:44
老师这道题能麻烦您用fp的万能公式再讲讲解一遍吗,fp公式里单看感觉不涉及div,不太清楚怎么做
回答(1)
最佳
Dean2020-02-20 18:40:34
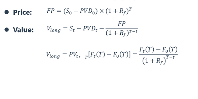
同学你好,FP=S0x(1+R)+Carrying cost-Carrying benefit.
carrying benefit 有很多种表现形式的,比如说投资股票,就是股利;如果投资债券获得的carrying benefit 就是coupon。常见的就这两种形式。
题目中说3个月后有1.5的coupon,用S0-PVC0,最后再复利到T时点,就可以得到3个月时点新FP的value。
- 评论(0)
- 追问(3)
- 追问
-
coupon在减去的时候不需要折现嘛?
- 追问
-
比如图上的2月有一个dividend,这个时候也是直接St-coupon嘛?它们的时点不同,这种情况会考嘛?
- 追答
-
同学你好,coupon 需要折现的,讲义中的参数是PVD 就是 present value of dividend。
股利发生在2个月后的3时点,st是1时点,两者时间不同不能相加减,必须放在同一时点才能比较。
评论
0/1000
追答
0/1000
+上传图片



