天堂之歌

听歌而来,送我踏青云〜

您现在的坐在位置:首页>智汇问答>CFA问答

淑同学2024-10-10 15:25:32

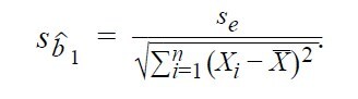
Sb1cap的计算公式是什么?突然理解不了这个概念

回答(1)

爱吃草莓的葡萄2024-10-14 09:55:09

同学你好。公式如下图,是斜率系数的标准误。

  • 评论(0
  • 追问(0
评论

精品推荐

评论

0/1000

追答

0/1000

+上传图片

    400-700-9596
    (每日9:00-21:00免长途费 )

    ©2026金程网校保留所有权利

    X

    注册金程网校

    验证码

    同意金程的《用户协议》
    直接登录:

    已有账号登录