回答(2)
Huang2024-04-24 11:06:22
同学你好,
因为第一年那个利息没有产生cash
-----------------------------------
如果满意答疑可【采纳】,仍有疑问可【追问】。
- 评论(0)
- 追问(3)
- 追问
-
是第一年的利息又被投入到第二年中去了吗?题目中所说的第二年的1000包含了第一年利息的1.4
- 追答
-
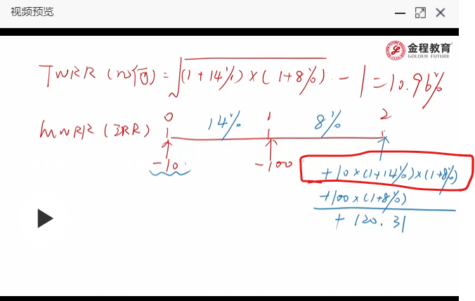
因为第一年的利息复利到第二年了,所以第二年算CF的时候是(1+14%)*(1+8%)
- 追问
-
请问老师,什么情况下算是产生了cash flow呢
Evian, CFA2024-04-25 17:47:05
ヾ(◍°∇°◍)ノ゙你好同学,
有收益率不代表发生了现金流
有cash flow指的是真真正正发生的现金流,例如取钱or撤资,投资or投钱,或者股利发放
对于这个题目,是期初投资了绿色框的钱,t=1时候追加投资蓝色框,然后默认t=2时间点全部钱(绿色和蓝色钱投资了一段时间考虑各期收益率)取出
---------------------
投资更加优秀的自己👍 ~如果满意答疑可【采纳】,仍有疑问可【追问】,您的声音是我们前进的源动力,祝您生活与学习愉快!~
- 评论(0)
- 追问(0)
评论
0/1000
追答
0/1000
+上传图片



