YL2023-01-18 13:42:08
教材P314-Module 5-Example 4-Exhibit 7下方第二段-The standard deviation for all eight quarters measured from the sample mean of 2.5% is 12.57%. 这里的12.57%是怎么得出的?
回答(1)
最佳
Evian, CFA2023-01-18 17:17:40
ヾ(◍°∇°◍)ノ゙你好同学,
是用截图中表格的数据计算的样本标准差
----------------------
学而时习之,不亦说乎👍【点赞】鼓励自己更加优秀,您的声音是我们前进的源动力,祝您生活与学习愉快!~
- 评论(0)
- 追问(2)
- 追问
-
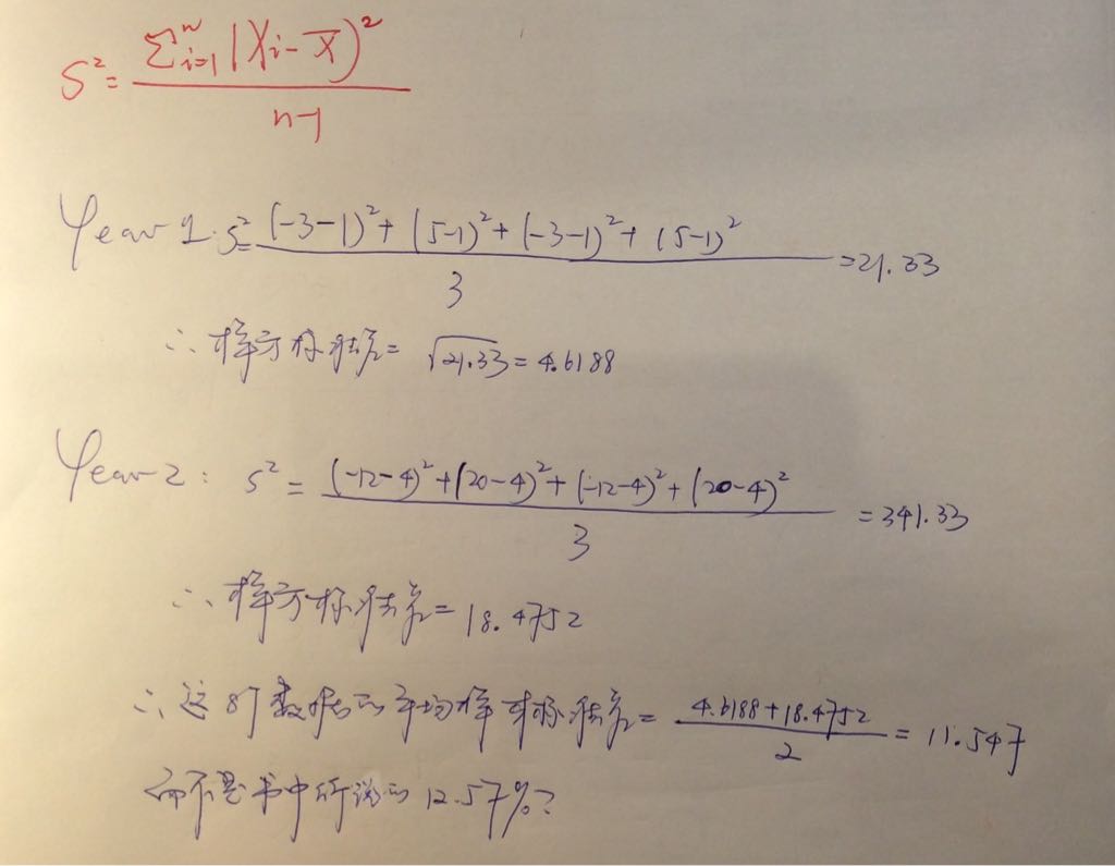
请见下方截图
- 追答
-
这八个数据不按照year分开,要一起计算,请参考以下截图
评论
0/1000
追答
0/1000
+上传图片





