Leo2023-01-16 21:33:39
第4题,是如何知道哪种情况的概率的?第二张图片是解析,没看懂。
回答(1)
最佳
Evian, CFA2023-01-18 18:32:09
ヾ(◍°∇°◍)ノ゙你好同学,
感谢您的截图信息!
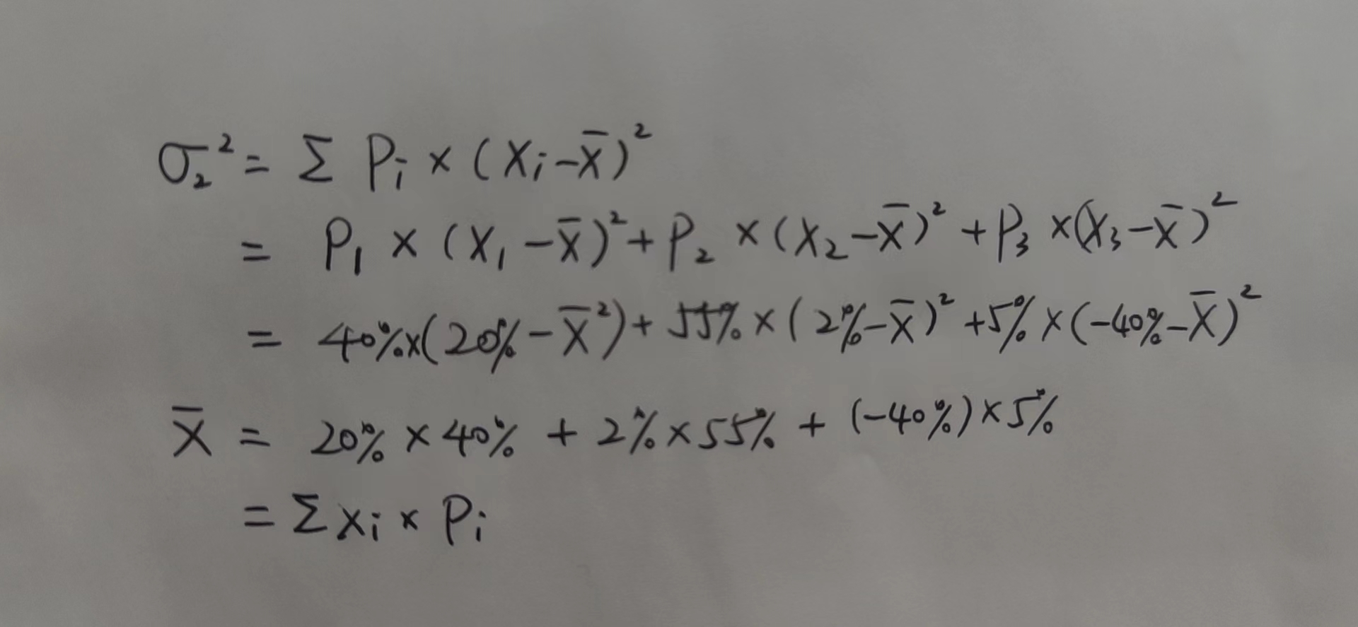
按照题目描述,共有三种收益情况,如下截图所示
----------------------
学而时习之,不亦说乎👍【点赞】鼓励自己更加优秀,您的声音是我们前进的源动力,祝您生活与学习愉快!~
- 评论(0)
- 追问(0)
评论
0/1000
追答
0/1000
+上传图片




