YL2023-01-09 22:17:20
教材P273-Module 4-公式10下方的第一段中从第10行开始,Regardless of the 9 observations selected, we can always find the value for the 10th observation that gives a mean equal to 10%. 请问这句话怎么理解?为什么“不管选择了9个观测值,我们总能找到第10个观测值的平均值等于10%。”为什么第10个观测值的平均值一定等于10%?前9个观测值的平均值呢?
回答(1)
最佳
Evian, CFA2023-01-10 14:18:30
ヾ(◍°∇°◍)ノ゙你好同学,
基础课中有讲解,对于样本检验统计量的无偏估性质,体现在“自由度n-1”
用样本数据可以计算样本方差,样本方差的作用是估计总体方差,为了使得样本方差是总体方差的无偏估计量,样本方差的分母是n-1
以3个随机变量解释,随机变量是可以自由变动的数字,此时n=3
如果引入一个均值,那么3个随机变量已知2个,即可用均值、前两个随机变量去表示第三个随机变量,此时可以自由变动的数字为n-1
----------------------
学而时习之,不亦说乎👍【点赞】鼓励自己更加优秀,您的声音是我们前进的源动力,祝您生活与学习愉快!~
- 评论(0)
- 追问(4)
- 追问
-
请见截图1
- 追答
-
以上草稿纸“3个变量”是一个简单的例子,与以上原版书截图中“10个变量”完全思路一致,这两个过程都是对于“自由度n-1”的理解
以上原版书截图中,涉及了“假设检验”知识点中,我们对“均值”检验,对均值检验的前提,就是我们知道了均值的数值,这就是“引入了均值”,所以在查表t学生分布表找关键值的时候要用到自由度n-1
- 追问
-
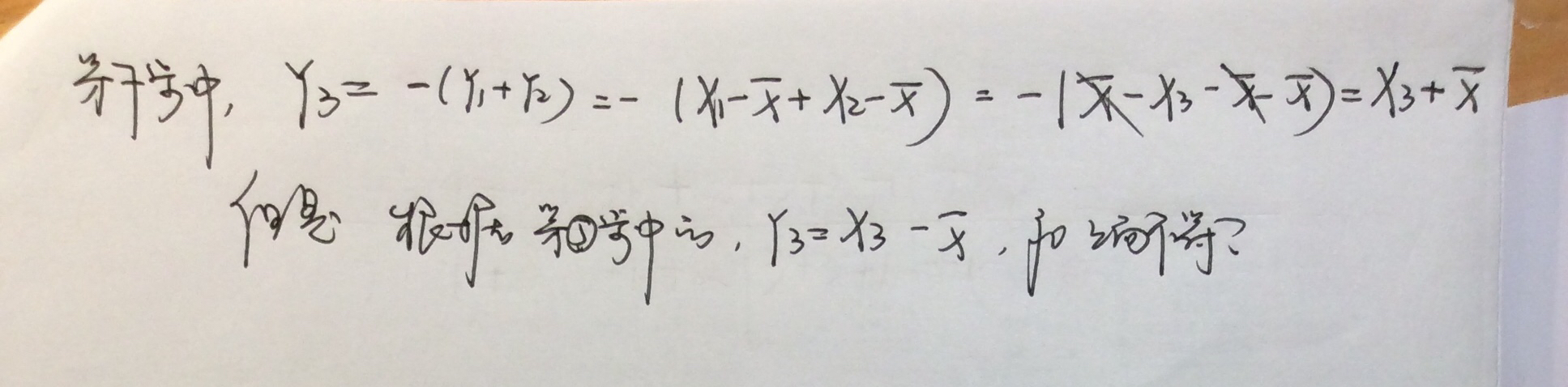
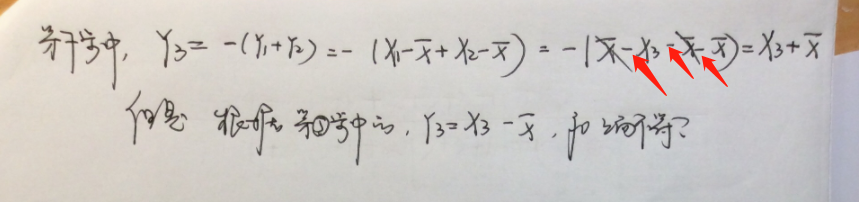
对于您草稿纸中的等式,有些疑问,请见下方截图
- 追答
-
同学你的红色推导部分粗心了,怎么出来3个减号的
评论
0/1000
追答
0/1000
+上传图片






