回答(2)
Evian, CFA2023-01-09 10:10:16
ヾ(◍°∇°◍)ノ゙你好同学,
你的问题问的非常好!
因为题目求解的是“样本协方差”,通俗来讲,它是和这两个量本身表达式有关系。
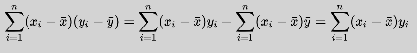
对于协方差公式可以化简(如附图):
从这个式子可以看出,虽然公式里一开始减掉 y拔,但实际上计算并不需要减,y的均值被化简掉了。
所以样本协方差实际上没有用y的均值限制y,只用了x的均值限制了x。所以其对应自由度是n-1。
----------------------
学而时习之,不亦说乎👍【点赞】鼓励自己更加优秀,您的声音是我们前进的源动力,祝您生活与学习愉快!~
- 评论(1)
- 追问(0)
开开2023-03-30 15:49:27
当题目让我们计算样本协方差的时候,自由度都是n-1,没有使用n-2的。
- 评论(0)
- 追问(0)
评论
0/1000
追答
0/1000
+上传图片

