ksming_2022-12-30 14:15:32
15和23题都是求sd,我记得sd是根号var,但是这两题都不是,只有一个题是根号var,15和23题的用来求sd的公式还不一样…我应该怎么判断用什么求sd呢?一样的问题却有不一样的方法
回答(1)
Evian, CFA2023-01-03 15:20:44
ヾ(◍°∇°◍)ノ゙你好同学,
两个题目都是在求方差,但是15题随机变量之间没有相关性,但是23题中资产之间有相关性。
15题
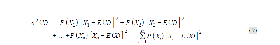
研究的是随机变量(sale)的离散程度,每个随机变量出现的概率不相等,用到的公式为193页公式(9)
23题
研究的是两个资产做组合,资产之间有相关性,用到的公式为198页公式(17)
----------------------
学而时习之,不亦说乎👍【点赞】鼓励自己更加优秀,您的声音是我们前进的源动力,祝您生活与学习愉快!~
- 评论(0)
- 追问(0)
评论
0/1000
追答
0/1000
+上传图片





